Altas temperaturas causaram 48 mil mortes no Brasil nos últimos anos, além de reforçarem a desigualdade socioeconômica!
As altas temperaturas vem impactando o mundo todo, mas nos últimos anos a sua elevação por longos períodos tem causado grandes prejuízos, desde a impactos econômicos, ao meio ambiente e também levando a mortes.

Em um planeta em aquecimento, os eventos climáticos extremos têm sido cada vez mais frequentes e intensos, um deles são as ondas de calor. Durante esses longos períodos em que as temperaturas ficam muito elevadas parece que tudo é levado ao seu limite, desde a infraestrutura das cidades, como a distribuição de energia e água, o meio-ambiente e inclusive o corpo humano!
O corpo humano é uma espécie de máquina biológica muito resistente, com diversos mecanismos e processos que nos ajudam a sobreviver a condições mais difíceis. Quando nosso corpo é submetido a altas temperaturas, nosso organismo irá reagir com uma série de alterações fisiológicas para tentar fazer com que o corpo volte a sua temperatura média comum, a primeira reação mais comum é a perda de calor pelo suor.

Entretanto, em alguns casos o calor é tão extremo que o corpo não consegue se resfriar, entrando em estado de hipertermia e, em alguns casos, levando a morte. Então, se vivemos num planeta cada vez mais quente, expostos a temperaturas mais extremas, podemos esperar um número cada vez mais alto de mortes devido ao calor no futuro?
Infelizmente a resposta é sim, não só podemos esperar isso como já foi observado nos últimos anos. Um novo estudo publicado nesta semana na revista Plos One, com participação de pesquisadores brasileiros de meteorologia e também de pesquisadores da área da saúde da Fundação Oswaldo Cruz (Fiocruz), mostra que entre 2000 e 2018 cerca de 48 mil brasileiros morreram devido às altas temperaturas, um número superior ao número de mortes associadas a deslizamentos de terra.
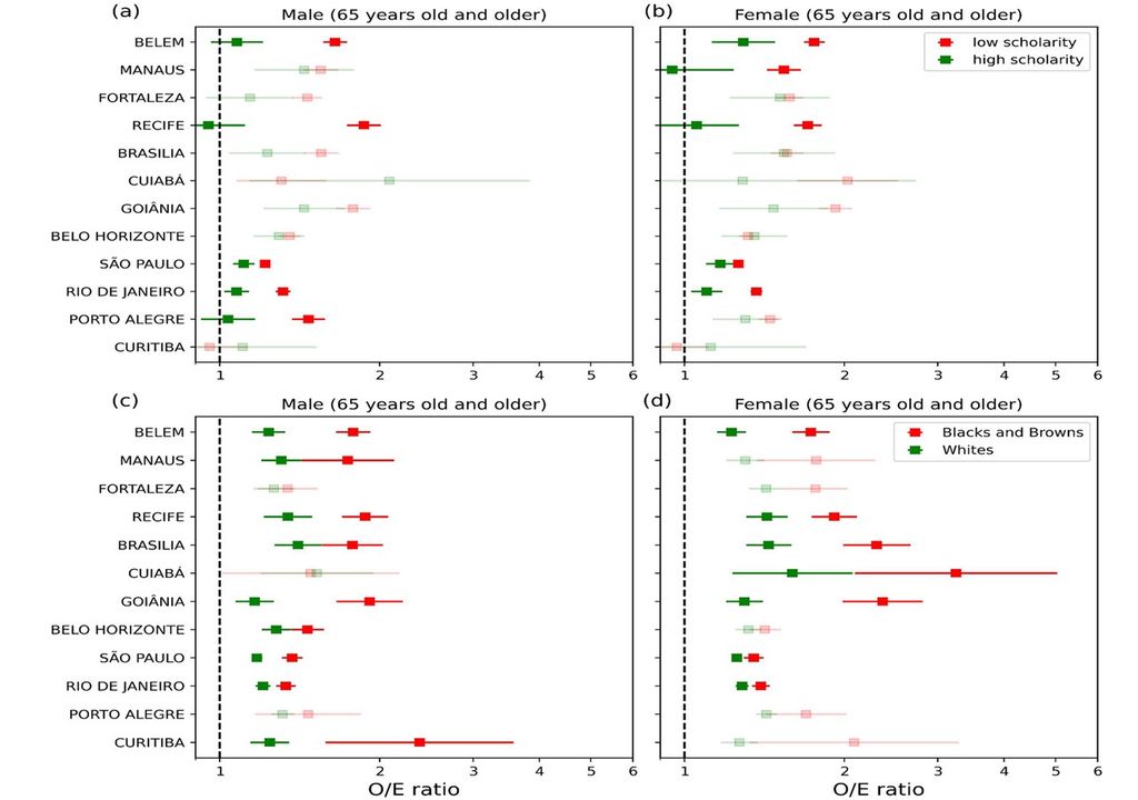
O estudo analisou mais de 9 milhões de registros de óbitos das 14 áreas metropolitanas mais populosas do Brasil, onde vive 35% da população nacional. Uma outra descoberta importante da pesquisa foi a identificação de grupos mais vulneráveis a esses eventos de calor extremos. Os resultados apontam que o grupo mais vulnerável são os idosos. Entre 75% e 94% das mortes relacionadas ao calor ocorreram entre pessoas com mais de 65 anos, um percentual significativamente maior do que o observado na mortalidade total por causas naturais.

Além dos idosos, pessoas com baixa escolaridade, pretos, pardos e mulheres também se mostraram mais vulneráveis às temperaturas extremas, com maiores índices de mortalidade. Essa nova informação se junta a uma ampla gama de fatos e evidências que escancaram a desigualdade socioeconômica, racial e de gênero no Brasil.
Também foi identificada uma significativa diferença no número de mortes entre as regiões do Brasil. Nas regiões Sul, Sudeste e Centro-Oeste, os grupos etários com menos de 65 anos de idade representaram entre 6% e 19% das mortes relacionadas ao calor, já nas regiões Norte e Nordeste, o percentual dos mesmos subgrupos foi mais alto, ficando entre 17% a 25%.
Os impactos das altas temperaturas na saúde humana
Além de existirem grupos mais vulneráveis, também existem diferenças na forma que lidamos com o calor excessivo devido a alguma comorbidade que possuímos. O estudo citado também mostrou que o risco de morte por calor é maior para pessoas com doenças respiratórias e cardiovasculares.
Por exemplo, diante do calor extremo nosso sangue fica mais espesso o que faz nosso coração trabalhar mais e de forma mais rápida, à medida que também é favorecida a formação de coágulos sanguíneos. Portanto, se um indivíduo possui uma insuficiência cardíaca, ou seja, um coração mais fragilizado, ele apresentará um maior risco de complicações, podendo ter um quadro de arritmia.
Outro ponto muito importante que deve ser destacado é que nem mesmo as pessoas que não se enquadraram nos grupos mais vulneráveis citados pelo estudo e aquelas que não possuem nenhuma comorbidade estão salvas dos impactos do calor. Não podemos nos esquecer que o aumento das temperaturas também estão ligadas a um aumento de doenças transmitidas por vetores, como a dengue, malária e febre amarela, doenças que podem afligir qualquer pessoa e possuem alta taxa de mortalidade.
Não perca as últimas novidades da Meteored e aproveite todos os nossos conteúdos no Google Discover, totalmente GRÁTIS
+ Siga a Meteored