Safra 2024/25: condições climáticas impulsionam crescimento recorde na produção de grãos
A safra de grãos 2024/25 no Brasil apresenta crescimento recorde, com 322,5 milhões de toneladas esperadas. A combinação de área ampliada e clima favorável impulsiona as principais culturas, como soja, milho e arroz, em diversas regiões do país.

O boletim da Companhia Nacional de Abastecimento (Conab) sobre a safra de grãos 2024/25 revela um cenário otimista para o agronegócio brasileiro. Com dados que indicam um crescimento na área de plantio e na produção, esse relatório destaca a força do setor agrícola no Brasil, mesmo em um contexto de desafios climáticos. O boletim mostra uma perspectiva otimista, com destaque para o crescimento das principais culturas, beneficiadas pelas condições climáticas favoráveis em diversas regiões do país.
Crescimento da produção: um novo recorde?
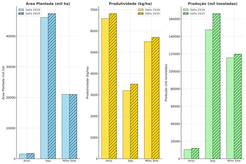
A safra de grãos de 2024/25 no Brasil é promissora. A área total de plantio está estimada em 81,4 milhões de hectares, representando um crescimento de 1,8% em comparação à safra anterior. Isso equivale a um aumento de 1,46 milhão de hectares. Com a ampliação da área plantada e condições climáticas favoráveis em diversas regiões, espera-se uma produção de 322,5 milhões de toneladas, um aumento significativo de 8,2% em relação ao ciclo de 2023/24.

Culturas como a soja, o milho e o arroz têm um papel essencial neste crescimento. A soja, por exemplo, deve atingir uma produção estimada de 166,1 milhões de toneladas, um aumento de 12,5% comparado ao ciclo anterior. O milho também apresenta boas expectativas, com previsão de produção de 119,8 milhões de toneladas, 3,6% a mais do que no último ano. O arroz também se destaca, com um aumento de 14% na produção, alcançando 12,06 milhões de toneladas. Esses números refletem a expansão das áreas cultivadas e a melhoria na produtividade.
Principais culturas e regiões produtoras
Soja: A soja continua sendo a principal cultura do Brasil, com uma produção estimada de 166,1 milhões de toneladas. Os principais estados produtores são Mato Grosso, Paraná e Rio Grande do Sul, responsáveis por grande parte da safra nacional. Em Mato Grosso, o clima tem sido favorável, permitindo um bom avanço na semeadura.
Milho: O milho também se destaca, com uma previsão de 119,8 milhões de toneladas. As regiões Centro-Oeste e Sul são as principais áreas de cultivo, com Mato Grosso e Paraná liderando a produção. As chuvas recentes no Centro-Oeste têm favorecido o desenvolvimento das lavouras de primeira safra.
Arroz: Com uma produção esperada de 12,06 milhões de toneladas, o arroz apresenta crescimento significativo, especialmente nas regiões Sul e Centro-Oeste. Estados como Rio Grande do Sul e Santa Catarina são responsáveis por grande parte da produção, e o clima úmido tem sido um fator positivo para o cultivo irrigado.
Impacto do clima nas próximas semanas
O clima é um dos principais fatores que influenciam o sucesso das safras. Em outubro de 2024, o Brasil experimentou chuvas significativas em diversas regiões, particularmente no Centro-Oeste, Sudeste e partes do Sul, o que ajudou a recuperar os níveis de umidade do solo. Essas condições têm sido essenciais para o bom desenvolvimento das culturas de primeira safra, como a soja e o milho, que dependem de um solo bem hidratado para germinar e crescer adequadamente.

De acordo com a previsão para os próximos 15 dias, a segunda quinzena de novembro deve trazer chuvas expressivas em algumas partes do país, especialmente na Região Sul e no Sudeste. Chuvas acima da média são previstas para o sul do Brasil, o que pode beneficiar as culturas de inverno, como o trigo, que estão em fase de colheita. Por outro lado, no Nordeste e em partes do Norte, a expectativa é de volumes de chuva abaixo do normal, o que pode dificultar o início do plantio em algumas regiões.

Outro ponto positivo é o aumento das chuvas no Centro-Oeste, que é uma área crucial para o cultivo de soja e milho. Essa previsão indica boas condições para avançar na semeadura e garantir um bom desenvolvimento inicial das plantas. A previsão climática também aponta para temperaturas elevadas, superiores a 34°C, em partes do Centro-Oeste, Norte e Nordeste, o que é favorável para algumas culturas, mas também requer uma atenção maior quanto ao manejo da água.
Desafios e oportunidades
Embora as previsões climáticas mostrem um cenário geral favorável, é importante lembrar que a agricultura depende de muitos fatores variáveis. Chuvas excessivas ou insuficientes podem impactar diretamente a produtividade das culturas.
Apesar desses desafios, o aumento da área de cultivo e as boas previsões para as principais culturas apontam para mais um ano de crescimento no setor. As práticas sustentáveis e a adoção de novas tecnologias por parte dos agricultores também têm contribuído para uma maior eficiência produtiva.
O segundo levantamento da safra 2024/25 reflete um ano promissor para o agronegócio brasileiro, com previsões de crescimento na produção de grãos. Com o apoio das condições climáticas favoráveis e da expansão das áreas de cultivo, espera-se que o Brasil continue a desempenhar um papel fundamental no fornecimento de alimentos para o mundo. No entanto, a dependência do clima e a variabilidade das condições meteorológicas sempre representarão desafios que exigem planejamento e resiliência por parte dos produtores. Fiquemos atentos aos próximos boletins e previsões para acompanhar como esse cenário vai se desenrolar ao longo dos meses.
Não perca as últimas novidades da Meteored e aproveite todos os nossos conteúdos no Google Discover, totalmente GRÁTIS
+ Siga a Meteored