Universo está desacelerando? Novo artigo diz que estávamos errados sobre uma observação importante
Em novo artigo, físicos argumentam que observações de supernova do tipo Ia que eram base da Cosmologia podem estar erradas.

Desde a década de 90, nós sabemos que o Universo está se expandindo de forma acelerada. Essa aceleração é atribuída à energia escura, uma componente que representa um pouco mais de cerca de 70% do Universo. As observações feitas pelo telescópio espacial Hubble confirmaram as observações do astrônomo Edwin Hubble que dizia que o Universo estava se expandindo. Além disso, as observações do telescópio mostraram que a expansão é acelerada.
As primeiras observações usaram supernovas do tipo Ia que possuem um brilho exato e constante. Como esse brilho é conhecido, essas supernovas funcionam como “velas padrão”, permitindo medir com precisão as distâncias e, consequentemente, a taxa de expansão do Universo e o cálculo da constante de Hubble. A descoberta que as supernovas do tipo Ia funcionam como ferramentas de medição rendeu até mesmo o Prêmio Nobel de Física de 2011.
Recentemente, um artigo publicado na Monthly Notices of the Royal Astronomical Society trouxe uma nova discussão sobre a taxa de expansão do Universo. Segundo eles, as observações de supernovas podem ter sido interpretadas de maneira errada, causando um erro no cálculo da constante de Hubble. Os autores argumentam que o Universo pode estar passando por uma fase de desaceleração. Essa hipótese concorda com alguns estudos que indicam que a taxa de expansão pode variar com o tempo.
Supernova do Tipo Ia
As supernovas do tipo Ia são explosões estelares que ocorrem em sistemas binários, quando uma anã branca acumula matéria de sua companheira até atingir um limite crítico de massa. Esse limite é conhecido como limite de Chandrasekhar que diz que quando uma anã branca atinge mais do que 1,4 vezes a massa do Sol, ela fica instável entrando em supernova. Essa explosão libera uma quantidade de energia quase idêntica em todos os eventos desse tipo.
Ao comparar o brilho observado com o brilho real conhecido, é possível determinar a distância e combinar essas medidas com o redshift das galáxias, dá para encontrar a taxa de expansão do Universo. Redshift significa o quanto a luz daquela galáxia foi desviada para o vermelho devido à expansão do Universo. Essas foram as primeiras evidências de que o Universo está se expandindo aceleradamente.
Tensão de Hubble
A tensão de Hubble é um dos maiores mistérios da Cosmologia porque se refere à discrepância entre os valores medidos da constante de Hubble. A constante de Hubble está relacionada com a taxa de expansão do Universo, então saber a constante de Hubble é um ponto importante na Cosmologia. Usando observações do fundo cósmico de micro-ondas, o satélite Planck do ESA estimou a constante em cerca de 67,4 km/s/Mpc. Já medições diretas no Universo local resultam em um valor maior, próximo de 73 km/s/Mpc.
Essa diferença, superior ao erro estatístico das medições, indica que algo pode estar faltando no modelo. A discrepância sugere duas possibilidades: ou há erros sistemáticos ainda não identificados nos métodos de medição, ou o modelo cosmológico padrão precisa ser revisado. Diversas hipóteses vêm sendo propostas para resolver a tensão de Hubble, incluindo que estamos em uma posição no Universo que interfere nas observações. E outra seria que a taxa de expansão pode estar variando.
Universo está desacelerando
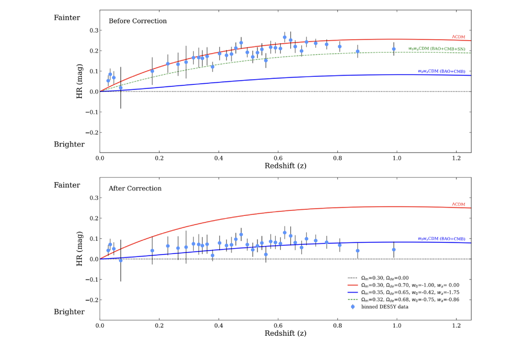
Novo artigo publicado na Monthly Notices of the Royal Astronomical Society argumenta que o Universo pode ter entrado em uma fase de expansão desacelerada. Segundo as observações que foram analisadas pelo grupo de pesquisadores, não encontraram evidências de uma aceleração atual. E além disso, os achados do grupo concordam com a hipótese que a taxa de expansão varia em função do tempo.

Segundo a discussão deste artigo, as primeiras evidências de expansão acelerada foram por causa das supernovas do tipo Ia. No entanto, a equipe argumenta que essas supernovas são afetadas pela idade das estrelas progenitoras. Supernovas de populações estelares jovens parecem mais fracas, enquanto as de populações mais antigas parecem mais brilhantes. Com base em uma amostra de 300 exemplos, o artigo argumenta que as supernovas não são fontes tão confiáveis como se achava antes.
Uma taxa de expansão variável
Em vez de se alinhar ao modelo cosmológico padrão ΛCDM, os novos resultados mostraram melhor concordância com o modelo proposto pelo projeto Dark Energy Spectroscopic Instrument (DESI) e em dados do fundo cósmico de micro-ondas. Esses resultados indicam que a energia escura enfraquece e evolui com o tempo. Com isso, um resultado que eles encontraram foi que o Universo pode não estar mais acelerando, mas sim já ter entrado em uma fase de expansão desacelerada.
Para confirmar as conclusões, o grupo está conduzindo novos testes usando apenas supernovas de galáxias jovens em toda a faixa de redshift. E além disso, os pesquisadores esperam que com as observações do Observatório Vera C. Rubin será possível aprofundar esses estudos. Isso porque o observatório deverá descobrir mais de 20 mil novas galáxias com supernovas do tipo Ia.
Referência da notícia
Son et al. 2025 Strong Progenitor Age-bias in Supernova Cosmology. II. Alignment with DESI BAO and Signs of a Non-Accelerating Universe Monthly Notices of the Royal Astronomical Society
Não perca as últimas novidades da Meteored e aproveite todos os nossos conteúdos no Google Discover, totalmente GRÁTIS
+ Siga a Meteored